Categorias

Interceptação telefônica complica figurão de Barra do Corda

Em plena véspera das eleições de 2012, mais um assassinato em Barra do Corda acontecia. A cidade é marcada por crimes de pistolagem e tem um dos maiores números de homicídios do Maranhão, a exemplo da execução do vereador Aldo Andrade, que seguia a todo vapor sob investigação quando o delegado do caso é afastado e a investigação muda de direção.

Ocorre, porém, as vésperas do julgamento do suposto mandante do crime do vereador, aparece novamente o nome de um figurão da político de Barra do Corda em escutas telefônicas e depoimentos. Ele foi recentemente denunciado por tentativa de homicídio dentre outros.

A vítima se deslocava para denunciar em Brasília os crimes do ex-gestor com os nomes dos executores, inclusive de Aldo Andrade. O político tem seu nome vinculado a crimes de pistolagem, onde aparece em uma linha de investigação como patrão do pistoleiro inicialmente acusado pela execução do vereador.

Outro dado importante, o pistoleiro deveria responder pelo crime de homicídio qualificado pena de 12 a 30 anos – art. 121 do CP e não homicídio comum cuja pena varia de 6 a 20 anos.

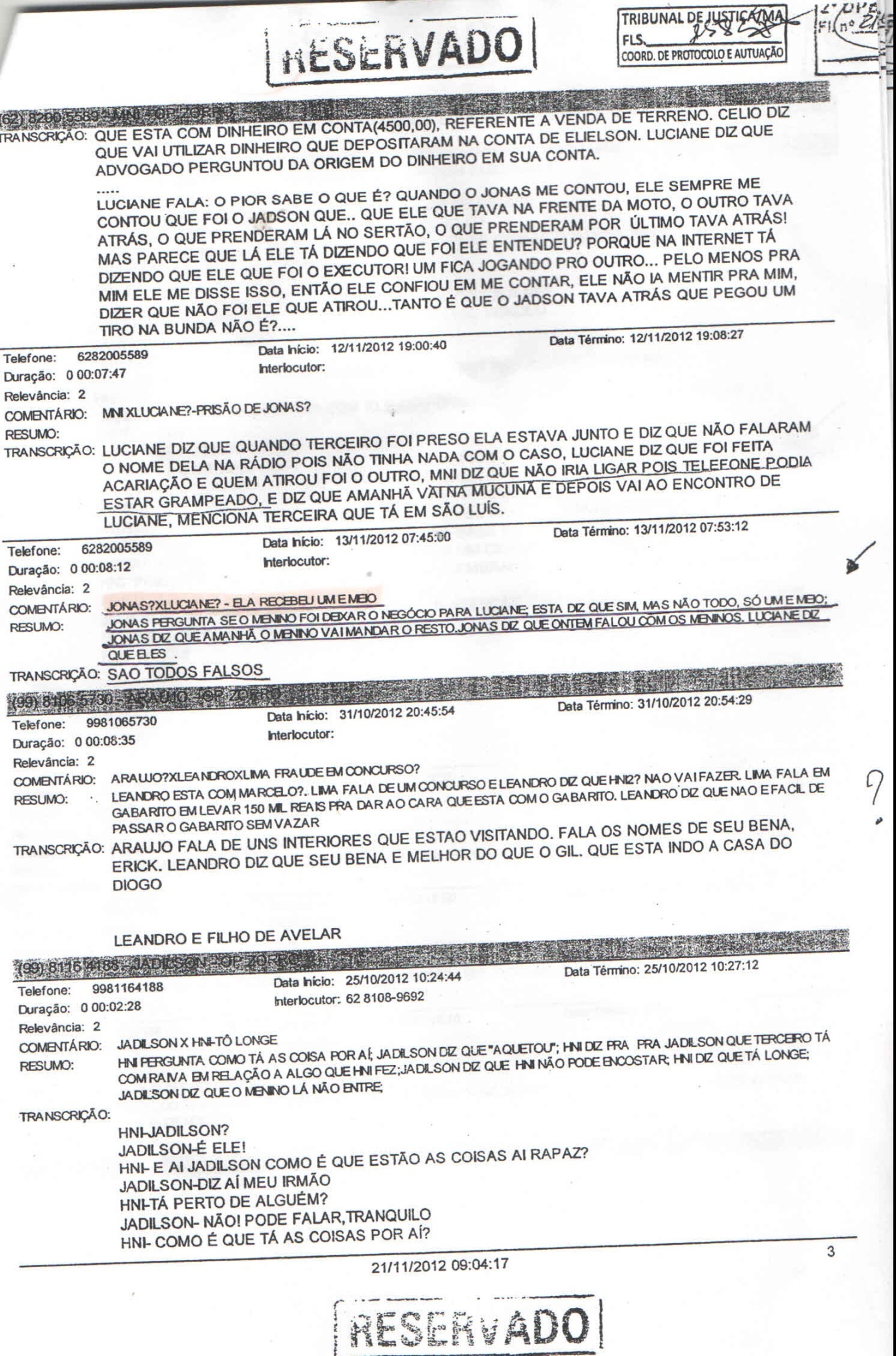
O blog divulga acima e abaixo relatos de depoimentos e escutas telefônicas com autorização da justiça.

6 thoughts on “Interceptação telefônica complica figurão de Barra do Corda

  1. TOMARA QUE PRENDAM AVELAR, LEANDRO E ATÉ O ERIC PELOS CRIMES QUE VEM COMETENDO E PELA PESSIMA ADMINISTRAÇÃO QUE TA FAZENDO O ERIC

    QUANDO ERA VEREADOR SO PRESTAVA PRA FALAR MAL DISSO E DAQUILO, HOJE COMO PREFEITO PECA ATÉ PIOR QUE O SR. NENZIM NOS MESMO QUISITOS…

  2. QUANDO VC FALA NO CRIME AO QUAL PISTOLEIRO RESPONDE (EX FUNCIONARIO DO AVELAR) DEVERIA MOSTRAR O DOCUMENTO QUE PROVA ISSO.

Deixe um comentário

O seu endereço de e-mail não será publicado. Campos obrigatórios são marcados com *