
Auditoria da Controladoria-Geral da União (CGU) que a Prefeitura de Imperatriz fez gastos irregulares no total de R$ 10.154.752,89 (dez milhões cento e cinquenta e quatro mil setecentos e cinquenta e dois reais e oitenta e nove centavos), segundo documento obtido pelo Blog do Neto Ferreira.
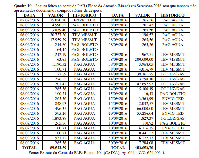
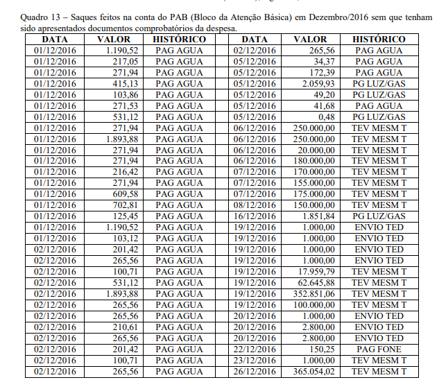
De acordo com o relatório, foi feita uma análise documental durante o período de 1º de janeiro de 2016 a 30 de junho de 2017 onde os auditores verificaram que o Fundo Municipal de Saúde de Imperatriz/MA recebeu o montante de R$ 27.652.037,00 (vinte e sete milhões seiscentos e cinquenta e dois mil e trinta e sete reais), relativo ao Bloco da Atenção Básica.
De valor citado acima, constatou-se a ausência de comprovação de gastos feitos à conta do Programa no montante de R$ 10.154.752,89 milhões.
O rombo foi descoberto após verificação notas de empenho, ordens de pagamento, notas fiscais e recibos, folhas de pagamento e comprovantes de transferências bancárias.
Veja os detalhes dos gastos abaixo:








