
A Controladoria-Geral da União (CGU) identificou um superfaturamento por quantidade em contratos realizados pela Prefeitura de Aldeias Altas, que é comandada por José Benedito da Silva Tinoco, o Dr. Tinoco. O valor superfaturado ultrapassa R$ 500 mil.
Os trabalhos de campo foram realizados no período de 1º a 5 de agosto de 2016 e fiscalizaram aplicações dos recursos do Programa 2030 – Educação Básica / Ação 8744 – Apoio à Alimentação Escolar na Educação Básica (Pnae), em Aldeias Altas.
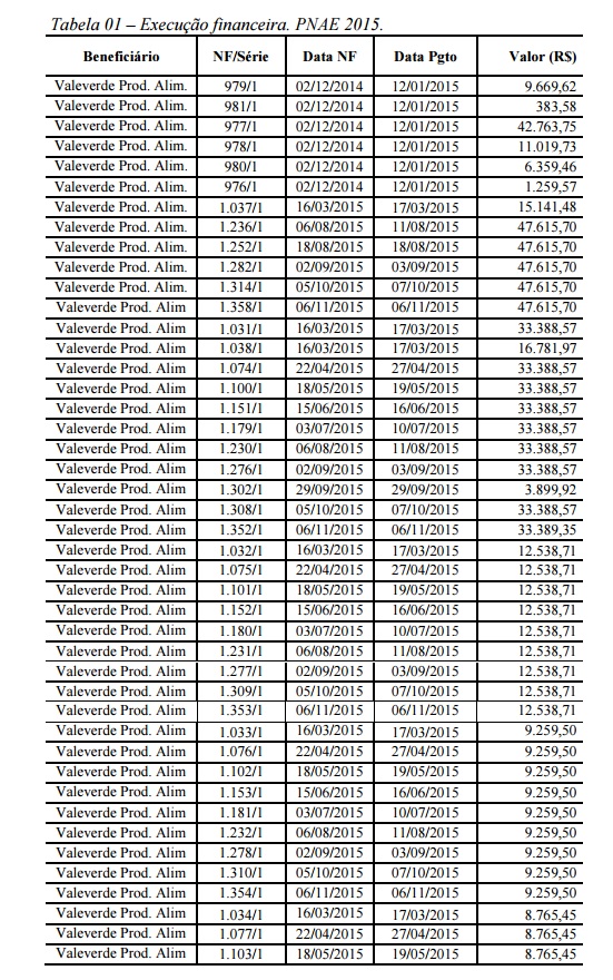
De acordo com a Controladoria da União, as empresas Valeverde Produtos Alimentícios e J de R C Silva receberam, entre 1º de janeiro de 2015 a 30 de junho de 2016 cerca de R$ 1.450.326,19 milhão da Prefeitura para garantir o fornecimento de alimentos para as escolas.
“Com base nas informações apresentadas pela nutricionista e na análise da documentação comprobatória das despesas, verificou-se a ocorrência de superfaturamento por quantidade. A repetição frequente dos mesmos valores nas notas fiscais, em cada modalidade do Pnae, como pode ser visto nas tabelas 01 e 02, nos anos de 2015 e 2016,
estabelecendo valores fixos por mês, contudo, de acordo com a declaração da Nutricionista, os “Pedidos” encaminhados para as empresas fornecedoras foram sempre variáveis”, explicou a CGU.
Ao confrontar os valores mensais das solicitações de gêneros alimentícios, chamadas de “Pedidos”, com as notas fiscais, os auditores identificaram que os valores pagos eram sempre maiores que os valores constantes dos pedidos, configurando superfaturamento por quantidade, tendo como causa a ausência de controles internos.
A fim de determinar o montante das supostas aquisições de produtos perecíveis, os fiscais relacionaram os pedidos ao fornecedor “Verdurão”, entregues pela nutricionista responsável. Assim, o valor total de compras de produtos perecíveis em todo exercício de 2015 seria de R$ 47.207,50 mil, e no primeiro semestre de 2016, totalizaria
o valor de R$ 12.188,40 mil.
“Cabe ressaltar que, de acordo com documentação comprobatória das despesas, as notas fiscais são atestadas pela Secretária Municipal de Finanças, enquanto quem elabora os “Pedidos” e os encaminha às empresas fornecedoras é a nutricionista e quem recebe os alimentos é o funcionário responsável pelo depósito de merenda escolar. A autorização de pagamento é assinada pelo Prefeito Dr Tinoco e a autorização da transferência bancária é
assinada pelo Prefeito Municipal, Secretária Municipal de Finanças e pela Coordenador Especial de Finanças.
“, afirmaram os auditores da CGU.





